Как рассчитывать мощность усилителя
Выяснить реальную мощность усилителя несложно. Для этого достаточно опираться на номинальное значение установленных в усилке предохранителей. Этот метод можно назвать вполне точным: производитель может написать на упаковке любое значение, но он не станет устанавливать предохранители очень большого номинала, так как они не смогут справляться со своими функциями. Очень низкий номинал также никто не станет использовать – это может просто задушить усилитель.
Конечно, такая методика расчета является примерной, но ее точности более чем достаточно для обычных пользователей. Полученное значение позволит объективно оценить мощность оборудования – на этот показатель можно смело ориентироваться, подбирая сабвуфер и акустику.
Перед тем как узнать коэффициент полезного действия усилителя для автозвука необходимо узнать его класс (нужные сведения можно получить в документации оборудования):
· АВ – способен выдавать хороший сигнал при коэффициенте полезного действия около 50 процентов. Подобные усилки чаще всего устанавливаются в автомагнитолах.
· D – более новый класс, который чаще всего используется для сабвуферов. Такие усилки обрабатывают звуковой сигнал цифровым способом и имеют коэффициент полезного действия в пределах 70-80 процентов.
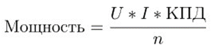
Формула расчета мощности
Чтобы узнать истинную конструктивную мощность понравившегося вам оборудования, просто воспользуйтесь приведенной ниже формулой:

В данном случае:
· U – напряжение в электросети при заведенном моторе (14,4 В);
· I – номинальная характеристика предохранителя (или их сумма, если в системе установлено несколько штук);
· КПД – 0,5 для оборудования AB типа, и 0,75 для D;
· n - число каналов оборудования.
Если объяснить вкратце, то если вы хотите узнать количество Ватт на один канал, необходимо подсчитайте значение фактической мощности с учетом коэффициента полезного действия и разделить полученное значение на общее число каналов.